Servicios Personalizados
Articulo
Indicadores
Links relacionados
 Citado por SciELO Citado por SciELO
 Similares en SciELO Similares en SciELO
Bookmark
BIOFARBO
versión impresa ISSN 1813-5363
BIOFARBO v.18 n.2 La Paz dic. 2010
ARTÍCULO
Daño genotóxico por exposición a plaguicidas en agricultores del Municipio de Luribay
Genotoxic damage caused by exposure to pesticides in farmers Luribay Township
Marisol Larrea Poma, Noemí Tirado Bustillos, M. Eugenia Ascarrunz G.
Unidad de Genética Toxicológica, Instituto de Genética, Universidad Mayor de San Andrés. La Paz  Bolivia
Dirección para correspondencia: Noemí Tirado MSc. Instituto de Genética, Facultad de Medicina, Universidad Mayor de San  Andrés. Av. Saavedra Nº 2246, 9º Piso, Miraflores. La Paz, Bolivia. Telf. 2229613.     
 E mail: noemitirado@yahoo.com
Recibido para publicación en 26/07/10    
 Aceptado en  18/11/10
RESUMEN
Los plaguicidas son compuestos químicos, biológicamente activos, que provocan efectos adversos sobre el medio ambiente y la salud, estos efectos pueden tardar años en manifestarse y los agricultores constituyen el grupo de mayor riesgo. Se realizó un estudio de biomonitoreo humano, desde el punto de vista genotóxico ocasionado por la exposición a plaguicidas, a través del ensayo del cometa y ensayo de micronúcleos en mucosa bucal. La población estudiada fue de 198 personas de ambos sexos (116 varones y 82 mujeres), de los cuales 118 fueron personas expuestas (agricultores) y 80 controles. Los resultados encontrados por ambas pruebas indican que existe un incremento significativo (p<0.05) de daño genotóxico en los agricultores expuestos a plaguicidas, en relación a los controles. Los agricultores expuestos a plaguicidas organofosforados y/o piretroide/organofosforado de clase II y III, sin protección personal y falta de conocimientos sobre el uso y manejo de plaguicidas, mostraron mayor daño genotóxico, en relación a los controles. Los que usaron plaguicidas durante más años presentaron mayor daño genotóxico, en relación a los que usaron menos años y los que no utilizaron nunca. Algunas características individuales como el sexo, consumo de tabaco, consumo de alcohol, exposición a rayos X y antecedentes de familiares con cáncer, no mostraron resultados significativos, por tanto el daño genotóxico puede considerarse efecto verdadero de los plaguicidas. Los hallazgos confirman la utilidad del ensayo del cometa y micronúcleos en mucosa bucal para la realización de estudios de biomonitoreo humano para evaluar daño genotóxico y la necesidad de realizar biomonitorización permanente en agricultores ocupacionalmente expuestos a plaguicidas en otras comunidades agrícolas.
Palabras Clave: Daño genotóxico, plaguicidas, ensayo del cometa, micronúcleos, trabajadores agrícolas, biomonitoreo.
ABSTRACT
Pesticides are chemical compounds, biologically active, causing adverse effects on the environment and health, these effects can take years to manifest and farmers are at great risk. A human biomonitoring study was conducted, from the genotoxic standpoint caused by exposure to pesticides, through the comet assay and micronucleus test in buccal cells. The study population was included 198 persons of both sexes (116 males and 82 females), 118 were exposed (farmers) and 80 were controls. The results of both tests indicate a significant increase (p <0.05) of genotoxic damage in farmers occupationally exposed to pesticides, compared to controls. Farmers exposed to pesticides, organophosphates and pyrethroid / organophosphate class II and III, without personal protection and lack of knowledge on the use and handling of pesticides showed higher genotoxic damage in relation to controls, those who used pesticides for more years showed higher genotoxic damage in relation to those who used fewer years and those who did not use ever. Some individual characteristics such as sex, smoking habit, alcohol consumption, exposure to X-ray, family with cancer, showed no significant differences, therefore the genotoxic damage can be considered due to pesticides. The findings confirm the usefulness of the comet assay and micronuclei in buccal cells for human biomonitoring studies to assess genotoxic damage and the need for permanent biomonitoring farmers occupationally exposed to pesticides in agricultural communities.
Key Words: genotoxic damage, pesticides, comet assay, micronuclei, agricultural workers, biomonitoring.
INTRODUCCIÓN
La exposición a plaguicidas, ya sea durante su formulación, producción o utilización puede tener efectos adversos en la salud y el medio ambiente. Estos efectos no siempre están relacionados con lesiones inmediatas y aparentes, sino que pueden tardar incluso años en manifestarse1. Aunque la población en general está expuesta a este tipo de compuestos, los agricultores se constituyen en un grupo de alto riesgo y por lo tanto requieren de estudios de biomonitorización para evaluar las enfermedades agudas y crónicas ocasionadas por la exposición a plaguicidas.
La importancia de la biomonitorización de riesgo genotóxico consiste en la identificación de biomarcadores de genotoxicidad que pueden definir un estado de prepatogénesis y dar las pautas para la prevención de la enfermedad. Dentro de los biomarcadores de genotoxicidad que han sido utilizadas ampliamente, están la frecuencia de intercambio entre cromátidas hermanas, micronúcleos, aberraciones cromosómicas y el ensayo del cometa2,3,4,5.
Entre los diversos daños que puede sufrir el material genético, como consecuencia de condiciones ambientales perjudiciales, están las mutaciones puntuales y cromosómicas, que pueden propiciar la transformación celular. Si tales alteraciones ocurren en protooncogenes o genes supresores de tumores, los cuales están involucrados en el crecimiento y diferenciación celulares, pueden propiciar el desarrollo de un cáncer en el órgano comprometido, contribuir al envejecimiento prematuro o producir enfermedades vasculares, autoinmunes o degenerativas6. Si ocurren en la línea germinal, pueden originar problemas reproductivos (infertilidad) como a su descendencia aumentando las enfermedades genéticas, tanto monogénicas como poligénicas.
La exposición a plaguicidas puede ocasionar neuritis, manifestaciones psiquiátricas, trastornos hepatorrenales, problemas neurológicos, inmunológicos, metabólicos y endocrinos. Asimismo, ha sido relacionado con el aumento en la incidencia de leucemia y cáncer de vejiga en agricultores, como consecuencia de los efectos genotóxicos de algunos plaguicidas7.
En general, las pruebas de micronúcleos y ensayo del cometa son de gran utilidad en esta evaluación, por su sensibilidad para detectar daño en el DNA, por la rapidez con que se realizan y por su utilidad potencial para evaluar cualquier población celular eucariótica 8,9.
En un estudio realizado por Huici y col.10, en las poblaciones de Caranavi, Guanay, Palca y Mecapaca se ha observado que el 73% de los productores manejan estos plaguicidas de forma empírica, sin respetar las dosis adecuadas o recomendadas (86%) y sin equipos de protección personal (80%). En la misma población el estudio de riesgo genotóxico realizado por Ascarrunz ME y col.11, mostró una elevada frecuencia de parámetros del cometa, micronúcleos y otros biomarcadores como ser intercambios entre cromátidas hermanas y aberraciones cromosómicas, por lo tanto, existe un aumento de la probabilidad de que los trabajadores agrícolas expuestos a estos agentes tengan daño genotóxico.
El Municipio de Luribay, como primera sección de la Provincia Loayza del departamento de La Paz, tiene a la agricultura, como la principal actividad económica, ya que el 90 % de la población se dedica a ella. La producción de uva además del durazno, tomates, higos y pera, mueve la economía de la zona del valle. De la misma forma, la producción de hortalizas se está constituyendo en un cultivo importante, su consumo es masivo y la producción tiene como destino la venta en el mercado. Los agricultores para la producción de los diferentes productos utilizan diferentes agroquímicos y plaguicidas12.
Realizando una prueba piloto en el Municipio de Luribay, junto con el Proyecto PLAGBOL, a través de una encuesta, se ha evidenciado que la mayoría de los agricultores no utilizan protección personal, ni hábitos higiénicos para el manejo de los plaguicidas, los productores manejan estos plaguicidas de forma empírica, realizando mezclas indebidas, sin respetar las dosis adecuadas o recomendadas, sin equipos de protección personal, y a ésto se adiciona el problema ambiental por la eliminación de los envases de forma incorrecta ocasionando la contaminación de fuentes de agua. Por todo lo mencionado, se ha visto la necesidad de realizar estudios de biomonitoreo desde el punto de vista del daño genotóxico, ocasionado por la exposición a plaguicidas y otros factores de riesgo que pueden ocasionar en esta población el aumento de la incidencia de enfermedades crónico-degenerativas, como el cáncer.
MATERIAL Y MÉTODOS
Se realizó un estudio de corte transversal comparativo. La población estudiada fue de 198 personas de ambos sexos (116 varones y 82 mujeres) entre 16 y 80 años. De los cuales 118, fueron personas expuestas (agricultores) y 80 controles. Los trabajadores agrícolas expuestos fueron aquellos que utilizan plaguicidas de manera permanente y sin medidas de protección y los controles fueron aquellos individuos con condiciones similares a la población expuesta, pero que no utilizan plaguicidas en forma directa. La participación fue voluntaria firmando una carta de consentimiento informado para autorizar la toma de muestra y respondiendo un cuestionario estandarizado, probado en el campo y ajustado a la población de estudio, donde se recopiló la información necesaria para conocer características de sus antecedentes personales, tanto de los individuos expuestos a plaguicidas y controles. Asimismo los agricultores respondieron una serie de preguntas relacionadas con su actividad ocupacional.
El daño genotóxico fue evaluado a través del ensayo del cometa en linfocitos de sangre periférica, para medir el daño primario del ADN, y el ensayo de micronúcleos en mucosa bucal, para medir el daño clastogénico y/o aneugénico. La obtención de todas las muestras de sangre periférica fue realizada por punción venosa en tubos Vacutainer con EDTA. Las muestras epiteliales de descamación de la mucosa bucal se recogieron simultáneamente con las de sangre y se obtuvieron friccionando el interior de las mejillas de cada individuo con un hisopo estéril.
Las muestras fueron procesadas de acuerdo a protocolos estandarizados que serán detallados a continuación.
Ensayo de micronúcleos en mucosa bucal. Las muestras resuspendidas en el tampón (EDTA 0.1M, TRIS-HCl 0.01M, NaCl 0.02M, a pH 7), se centrifugaron a 800 rpm durante 10 minutos. Luego se aspiró y desechó el sobrenadante. Seguidamente se añadió 3 mL de tampón y se resuspendió (este paso se repitió por tres veces para obtener una densidad adecuada de células). Se dejó gotear 50 μL aproximadamente en una lámina de vidrio y se dejó secar al aire libre por un día aproximadamente. Después se fijó con metanol al 80% v/v.
La tinción se realizó con Giemsa 6% diluido en buffer Sorënsen, por 6 minutos. Luego se lavó con agua destilada y se dejó secar al aire libre. Finalmente se observó al microscopio con un aumento de 40X. La evaluación se realizó en mil células por individuo.
Ensayo del cometa (SSGE). La técnica del ensayo del cometa se realizó según Singh y col.13, con modificaciones de Ramírez14. Las células fueron suspendidas en 0.5% de agarosa de bajo punto de fusión (LMP) en PBS y pipeteadas en portaobjetos previamente cubiertos con una capa de agarosa de punto de fusión normal (NMP) al 1%. Los portaobjetos con suspensión celular fueron colocados con cubreobjetos y llevados a 4ºC por 10 min., posteriormente se sumergieron en un buffer de lisis (2,5 M NaCl, 100 mM Na2EDTA, 10 mM Tris-HCl pH 10, 1% Triton X-100 y 10% DMSO), por 1 hora a 4º C en la oscuridad, para permitir la lisis de las células embebidas y el desenrrollamiento del DNA. Después de la incubación de las células en la solución de lisis, los portaobjetos fueron expuestos a buffer alcalino (1mM Na2EDTA, 300 mM NaOH buffer) pH >13 por 20 min. Finalmente, los portaobjetos fueron sometidos a electroforesis por 20 min. a 25 v y 300 mA en el mismo buffer, luego lavados con buffer 0.4 Tris-HCl (pH 7.5) para neutralizar el exceso de álcali y remover los detergentes y fijadas con etanol p.a, para finalmente ser almacenadas hasta su evaluación. Las placas fueron teñidas con bromuro de etidio (10 μg/ml) y luego las células fueron examinadas bajo un microscopio fluorescente con un aumento de 40x. Para evaluar el daño al DNA, se observaron 100 células por cada placa.
El análisis de células se realizó por el software Comet Imagen de la firma METASYSTEM, German y existente en GENETOX, de la Universidad de Bío Bío de Chillán  Chile, para ello se utilizó el Microscopio de Inmunofluorescencia de la marca ZEISS Axioskop 2 mof, donde se obtuvo los valores de momento de la cola y momento Olive.
RESULTADOS
Los resultados fueron reportados en base a un análisis descriptivo y analítico utilizando el paquete estadístico SPSS 11.
En el análisis demográfico la población estudiada se distribuyó en 116 varones (58.6%) y 82 mujeres (41.4%), entre 16 y 80 años de edad; de los cuales 118 (59.6%) fueron expuestos y 80 (40.4%) controles; el 8.1% eran fumadores; el 70.7% consumían bebidas alcohólicas y el 27 % ha sido sometida alguna vez a rayos X.
Se realizó una caracterización de la exposición a plaguicidas en los agricultores, donde se observó que el 51.3% ha utilizado plaguicidas más de 5 años; el 76.15% ha utilizado plaguicidas organofosforados y/o una mezcla de piretroide /organofosforado de clase II y III; 98.31% no usaba ropa, ni equipo de protección, y el 87.3% no había recibido asistencia técnica para el uso y manejo de plaguicidas.
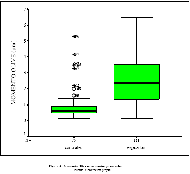
Las pruebas de genotoxicidad revelaron que los agricultores expuestos presentaron un significativo aumento (p<0.5) de daño genotóxico en relación a los controles.













DISCUSIÓN
Los trabajadores agrícolas de la presente investigación, fueron seleccionados por sus características particulares de trabajo, donde la actividad agrícola es intensa y el uso de los plaguicidas es indiscriminado y con manejo inadecuado, situación que supone un alto nivel de exposición. En el Municipio Luribay los agricultores están en una continua exposición a plaguicidas todo el año, debido a que la mayoría de las personas (90%) realizan rotación de cultivos en sus parcelas de acuerdo a las épocas del año. Otra situación que agrava la exposición de los agricultores a los diferentes plaguicidas es la asociación de cultivos, puesto que no sólo utilizan un tipo de plaguicida sino una mezcla compleja.
Es así que los resultados obtenidos nos sugieren que, la exposición ocupacional a plaguicidas causó daño en el DNA, pues con el ensayo del cometa y micronúcleos en mucosa bucal se observó incremento de daño genotóxico en los trabajadores agrícolas ocupacionalmente expuestos a plaguicidas en relación a los controles (p<0.05). Estos datos nos indican que la población de este municipio, por la actividad que realiza pone en riesgo su salud.
En el análisis de daño genotóxico por el ensayo del cometa y micronúcleos en mucosa bucal en relación al tipo de plaguicida, se observó que los tipos organofosforados y la mezcla de organofosforado/piretroide de clases II y III, causaron mayor daño genotóxico en relación a los otros tipos de plaguicidas, presentando valores significativos (p< 0.05) en relación a los controles. En los compuestos organofosforados, el grupo fosforilo es un sitio electrofílico potencial que puede reaccionar con el ADN, y su grupo alquilo tiene la capacidad de interaccionar con los centros nucleofílicos de la molécula como nitrógeno 7 de la guanina. Esto hace que dichos plaguicidas actúen como agentes alquilantes, y debido a su carácter electrofílico, se sabe que la mayoría de las sustancias consideradas genotóxicas y/o carcinogénicas son altamente electrofílicos por si solas, o pueden ser activadas a metabolitos electrofílicos por medio de los mecanismos del metabolismo xenobiótico de los seres vivos.
Es muy difícil sacar conclusiones específicas sobre el daño genotóxico causado por un tipo especifico de plaguicida, debido a que generalmente los trabajadores agrícolas no se dedican a un único tipo de cultivo y, por lo tanto, las necesidades en función de plagas, de conservación y contaminación de los cultivos son diferentes en cada situación, terminando incluso en el uso de mezclas complejas de diferentes compuestos. Se cuenta con poca información sobre el efecto genotóxico de mezclas complejas, aunque ha sido comprobado que el nivel de exposición y el uso de varios plaguicidas por separado produce genotoxicidad de forma significativa, en poblaciones ocupacionalmente expuestas a estos productos14, 15 .
El tiempo de exposición o años que los trabajadores llevan empleando plaguicidas, es también un factor a ser considerado, el cual en el estudio fue determinante, presentando valores significativos (p<0.05) de daño genotóxico por el ensayo del cometa y micronúcleos en mucosa bucal. Los agricultores que usan más de 20 años plaguicidas presentan mayor daño genotóxico, en relación a los que tienen menos años de trabajo como agricultores. Esto muestra que existe un daño crónico acumulativo, que se va incrementando con el paso del tiempo. Las exposiciones crónicas son difíciles de evaluar ya que los efectos que se observan son resultado de una exposición continua a diferentes compuestos y en concentraciones desconocidas. Ahora bien, generalmente a mayor tiempo de exposición, mayor cantidad de producto que se puede acumular en el organismo y se manifiestan con diferentes efectos sobre la salud.
Tanto por el ensayo del cometa y micronúcleos en mucosa bucal, las características individuales como el sexo, consumo de tabaco, consumo de alcohol, exposición a rayos X, no mostraron resultados significativos, por lo que podríamos suponer que estas variables no influyen en el daño genotóxico. Por tanto, los resultados encontrados pueden ser considerados efectos verdaderos de los plaguicidas.16 También se ha verificado que las características como sexo, y hábitos de fumar, no mostraron correlación con daño genotóxico. Estas observaciones también concuerdan con los resultados de Garaj- Vrhovac y col.17 y otros estudios similares en los que el hábito de fumar no influye en el daño genotóxico por plaguicidas.
El presente estudio, juntos con otros previos, ha revelado un incremento en la migración del DNA utilizando el ensayo del cometa en leucocitos de sangre periférica de individuos expuestos a mezclas complejas de plaguicidas, y es así que se encontró diferencias altamente significativas entre individuos expuestos y controles. Paz -Miño y col.18 utilizando la misma prueba en el análisis de individuos ocupacionalmente expuestos a plaguicidas en el Ecuador, también mostraron un aumento altamente significativo en la migración del DNA, comparado con una población control.
Se ha llevado a cabo muchos estudios sobre la genotoxicidad de plaguicidas utilizando métodos citogenéticos, los resultados obtenidos en estudios in vitro demostraron que diferentes plaguicidas fueron capaces de inducir incremento en el número de MN en linfocitos de sangre periférica19,20,21, y el ensayo del cometa 22,23,24,25.
Estudios realizados por Gomez  Arroyo y col.26 han encontrado un incremento de la frecuencia de micronúcleos en células de mucosa bucal en agricultores, sin embargo estos autores encontraron niveles de micronúcleos bastante altos (de 3.8 micronúcleos en controles y 10 micronúcleos en expuestos por 1000 células) comparados con los resultados obtenidos en el presente trabajo (de 2.16 micronúcleos en controles y 4.75 micronúcleos en expuestos por 1000 células). A pesar del riesgo asociado con exposición a plaguicidas los individuos están a menudo expuestos a una mezcla variable de sustancias químicas, de ahí que existe un rango complejo de valores de exposición que puede ser responsable para la variación de niveles de genotoxicidad entre diferentes estudios de biomonitoreo en personas expuestas a plaguicidas.
En Bolivia se ha realizado un estudio de biomonitoreo citogenético en los trabajadores agrícolas de Caranavi, Guanay, Palca y Mecapaca, a través de micronúcleos, intercambios entre cromátides hermanas, aberraciones cromosómicas y ensayo del cometa6, mostrando un aumento de riesgo genotóxico por exposición crónica. Los resultados fueron significativamente más elevados en los expuestos que en los controles (p< 0,05), donde se observa que las personas expuestas a plaguicidas tienen 1.49 veces más probabilidad de sufrir daño genotóxico.
El estudio realizado por Ascarrunz y col.6 y el presente, utilizando el ensayo del cometa en linfocitos de sangre periférica y micronúcleos en mucosa bucal, de individuos expuestos a mezclas de plaguicidas; revelan que existe un incremento de daño genotóxico.
Finalmente se ha observado que existe una correlación entre las dos pruebas, debido a que los resultados del ensayo del cometa fueron concordantes con los resultados de micronúcleos en mucosa bucal, ya que ambas pruebas detectaron daño en el DNA provocado por los plaguicidas. De ahí el interés en el uso de ambos métodos, siendo métodos sensibles, simples, rápidos y económicos y permiten trabajar con diferentes tipos celulares (células sanguíneas, células epiteliales, semen, etc.).
Como es bien conocido, muchos de los efectos adversos para la salud son el resultado del daño genético inducido por agentes genotóxicos, tanto en las células somáticas como en las germinales. Si el daño se produce en la línea somática, entre otros efectos, puede derivar en cáncer, contribuir al envejecimiento prematuro27,28 y producir enfermedades vasculares, entre otros. Asimismo, si el daño se induce en células germinales puede afectar tanto a los individuos expuestos (efectos sobre la fertilidad), como a su descendencia. Por consiguiente, está claro el gran impacto en la salud humana, que las enfermedades genéticas presentan, y que hay que dedicar todos los esfuerzos posibles para minimizar la exposición a plaguicidas que puedan desarrollar de las mismas.
AGRADECIMIENTOS
A los trabajadores agrícolas, profesores, personal de salud, funcionarios de la Alcaldía del Municipio de Luribay, estudiantes y otros que participaron voluntariamente en el presente estudio; al Proyecto PLAGBOL; al Ing. Milton Macias de SAVE THE CHILDREN; al Dr. Primo Gonzáles del Centro de Salud Azambo; al Instituto de Servicios del Laboratorio de Diagnostico (SELADIS) y al Dr. Enrique Zamorano del Universidad de Bío Bío de Chillán  Chile.
REFERENCIAS
1. Hagmar L, Stromberg U, Tinnerberd H, Mikoczy Z. The usefulness of cytogenetic biomarkers as intermediate endpoints in carcinogenesis. Int J Hyg Environ Health. 2001; 2204(1): 43-47. [ Links ]
2. Holsapple MP. Autoinmunity by pesticidas: a critical review of the state of the science. Toxicol Lett. 2002: 127, 101-109. [ Links ]
3. Bolognesi C., Abbondandolo A, Barale R, Casalone, y col. Age related increase of baseline frequencies of sister chromatid exchanges, chromosome aberrations, and micronuclei in human lymphocytes, Cancer Epidemiol. Biomarkers Prev. 1997: (6) 249  256.
4. Vigreux C, Poul J, Deslandes E, Lebailly P, Godard T, Sichel F, Henry-Amar M, Gauduchon P. DNA damaging effects of pesticidas measured by the single cell gel electrophoresis assay-comet assay/and the chromosomal aberration test, in CHOK1 cells. Mutation Research. 1998: (419) 79  90. [ Links ]
5. Pastor BS. 2002 Biomonitorización citogenética de cuatro poblaciones agrícolas europeas, expuestas a plaguicidas, mediante el ensayo de micronúcleos Universidad Autónoma de Barcelona. Fac. de Ciencias. Depto. de Genética y Microbiología. Grupo Mutagénesis. Tesis Doctoral/ Disponible en: http://www.tdx.cesca. [ Links ]
6. Ascarrunz M.E. Tirado N. Gonzales A.R. Cuti M. Cervantes R. Huici O. Hors E. Evalucion de riesgo genotoxico: biomonitorizacion de trabajadores agrícolas de Caranavi,Guanay, Palca, y Mecapaca, expuestos a plaguicidas; Cuadernos del Hospital de Clinicas vol. 50 Nº2, 2005: 29 - 31.
7. Márquez ME, López JB, Londoño M, y col. Detección del daño genotóxico agudo y crónico en una población de laboratoristas ocupacionalmente expuestos. IATREIA. 2003: 16 (4): 275  282. [ Links ]
8. Ramirez V, Cuenca P. DNA damage in female workers exposed to pesticides in banana plantations al Limon, Costa Rica. Rev Biol Trop. 1998: (50) 507-518. [ Links ]
9. Albertini RJ. Anderson D, Douglas GR, Hagmar L, Hemminki K, Merlo F et al. IPCS guidelines for the monitoring of genotoxic effects of carcinogens in humans. International Programme on chemical safety. Mutat Res. 2000: 468 (2): 111  172. [ Links ]
10. Huici O. El mundo de los plaguicidas. Fundamentos técnicos para el uso y manejo correcto plaguicidas. 2ª. ed . Bolivia. 2007: 1  7 [ Links ]
11. Ascarrunz 2006 Ascarrunz ME, Tirado N, Gonzáles AR, Cuti M, Cervantes R, Huici O, Jors E. 2006. Evaluación de riesgo Genotóxico: Biomonitorización de trabajadores agrícolas expuestos a plaguicidas de Caranavi, Guanay, Palca y Mecapaca. Revista Cuadernos; 51:7-18.
12. Plan De Desarrollo Municipal De Luribay: La Paz  Bolivia. Versión ajustada. 2006  2010: 1 - 72. [ Links ]
13. Singh NP, Mccoy MT, Tice R, Schneider E. A simple technique for quantitation of low levels of DNA damage in individual cells. Experimental Cell Research. 1988; 175:184-191 [ Links ]
14. Balaji M. AND K. Sasikala.. Cytogenetic effect of malathion in vitro culture of human peripheral blood. Mutat. Res. 1993: (301)13-17.
15. Bolognesi C. Genotoxicity of pesticides: A review of human biomonitoring studies. Mutation Research. 2003: (543) 251-272. [ Links ]
16. Antonucci G.A., Tanzarolla C., Modesti D, Degrassi F. 1993. Citokinesis block micronucleus assay with kinetochore detection in colchicine treated human fibroblasts. Mutation Res. 287: 93 -99
17. Garaj-Vrhovac V, Zeljezic D. Evaluation of DNA damage in workers occupationally exposed to pesticides using single-cell gel electrophoresis (SCGE) assay. Pesticide genotoxicity revealed by comet assay. Mutation Research. 2000: (469) 279-285. [ Links ]
18. Paz-Y-Miño C, Arévalo M, Sanchez M.E., Leone P. Chromosome and DNA damage analysis in individuals occupationally exposed to pesticides with relation to genetic polymorphism for CYP 1A1 gene in Ecuador. Mutation Research. 2004: 1-13. [ Links ]
19. Garaj-Vrhovac V, Zeljezic D. Cytogenetic monitoring of croatian population occupationally exposed to a complex mixture of pesticides. Toxicology 2001; 165: 153-162 [ Links ]
20. Fenech M, Bonassi S, Turner J, Lando C, Ceppi M, Changc W, Holland N. Mutation Research. 2003: (534Aust AE. Mutations and cancer. En: Genetic toxicology A. H. Li, R. H. Heflich. (eds) crc. Press, Boca Raton, Florida. 1991: 93  117.
21. Fenech M, Morley AA. Measurement of micronuciei in lymphocytes. Mutation Research. 1985: (147)29-36. [ Links ]
22. Tice R. R., Vasquez M. Protocol for the application of the pH>13 alkaline single cell gel (SCG) assay to the detection of DNA damage in mammalian cells. Research Triangle Park. 1998: 1-8. [ Links ]
23. Rahman M.F., M. Mahboob, K. Danadevi, B. Saleha Banu, Paramjit G. Assessment of genotoxic effects of chloropyriphos and acephate by the comet assay in mice leucocytes. Mutation Research. 2002: (516)139-147.
24. Blasiak J., Jaloszynski P., Trzeciak A., Szyfter K. In vitro studies on the genotoxicity of the organophosphorus insecticide malathion and its two analogues. Mutat. Res. 1999: (445) 275-283 [ Links ]
25. Poli P, DE Mello M.A, Buschini A, DE Castro V.L.S.S, Restivo F.M., C. Rossi, Zucchi T.M.A.D. Evaluation of the genotoxicity induced by the fungicide fenarimol in mammalian and plant cells by use of the single-cell gel electrophoresis. Mutation Research. 2003: (540) 57-66
26. Gómez-Arroyo, S., Díaz-Sánchez, Y., Meneses-Pérez, M.A., Villalobos-Pietrini, R. and DeLeón-Rodríguez J. Cytogenetic biomonitoring in a Mexican floriculture worker group exposed to pesticides. Mutation Res. 466, 117-124, 2000.
27. Rattan SIS (Ed.). Cellular ageing. Mutat. Res. 1991: (256) 69  328
28. De Marini DM, Richard AM, Shelby MD, Waters Md. Hazard identification. En: Methods for Genetic Risk. Assessment D, Brusick (Ed.) Lewis Publisher, CRC Press, Inc., Boca Raton, Florida. 1994: 1-17.) 4564.

 
 








 Articulo en PDF
Articulo en PDF Articulo en XML
Articulo en XML Referencias del artículo
Referencias del artículo
 Traducción automática
Traducción automática Enviar articulo por email
Enviar articulo por email